Pendahuluan
Investasi merupakan suatu pengeluaran modal saat ini
untuk megharapkan pengembalian atau hasil pada masa yang akan datang. Keputusan
atas suatu investasi pada umumnya didasarkan pada pertimbangan investor terhadap
besarnya return (pengembalian) yang
diharapkan serta risiko yang diperkirakan akan dihadapi. Hubungan antara risiko
dengan return bersifat positif artinya apabila risiko tinggi maka return yang
diharapkan juga akan tinggi. Sebagai ilustrasi, apabila seorang detektif
memiliki misi untuk membongkar suatu sindikat perampokan maka besarnya bayaran
yang ditawarkan bergantung besarnya risiko yang akan dihadapi dalam menjalankan
tugas. 
Analisis investasi (investment
analysis) dimaksudkan sebagai upaya untuk memperkirakan prospek suatu investasi
di masa yang akan datang. Analisis ini sangat diperlukan dengan pertimbangan
bahwa kondisi investasi masa yang akan datang bersifat tidak pasti (uncertainty). Hasil analisis investasi
ini akan menjadi pertimbangan bagi para investor dalam mengambil keputusan atas
investasinya. Analisis investasi meliputi analisis fundamental, analisis
teknikal, model-model valuasi investasi, serta model-model keseimbangan dalam
menilai investasi. Pada pembahasan analisis investasi ini, penulis lebih banyak
mengungkapkan teori hasil kompilasi dari beberapa pakar serta hasil penelitian,
baik yang dilaksanakan di dalam negeri (Indonesia) maupun di luar negeri.
Analisis
Investasi: Analisis Fundamental
Analisis fundamental merupakan salah
satu pendekatan yang dapat digunakan dalam menganalisis suatu sekuritas.
Menurut Jones (2007) bahwa “Fundamental
analysis at the company level involves analyzing basic financial variables in
order to estimate the company’s intrinsic value”. Selanjutnya, Jones (2007)
menyatakan bahwa “The end result of
fundamental analysis at the company level is good understanding of the
company’s financial variables and an assessment of the estimated value and
potential of the company”. Selanjutnya, Reilly dan Brown (2006)
mengemukakan bahwa “Fundamental analysts
believe that, at any time there is a basic intrinsic value for the aggregate
stock market, various industries, or individual securities and that these
values depend on underlying economic factors”.
Pernyataan di atas menunjukkan bahwa
analisis fundamental dilakukan untuk menentukan nilai intrinsik (nilai yang
sebenarnya) suatu sekuritas, misalnya saham yang didasarkan pada faktor-faktor
fundamental, seperti faktor-faktor ekonomi, industri, dan faktor-faktor
finansial perusahaan.
Copeland, Weston, dan Shastri (2005)
mengemukakan beberapa faktor yang menentukan harga sekuritas adalah transaksi
perdagangan (permintaan dan penawaran) antar investor yang secara garis besar
dipengaruhi oleh tiga faktor yaitu pilihan waktu untuk melakukan investasi dan
produktivitas investasi dalam menghasilkan return, ekspektasi investor mengenai
keadaan masa yang akan datang, serta sikap investor terhadap risiko.
Investasi dapat diartikan sebagai
pengeluaran dana saat ini untuk mengharapkan pengembalian (hasil) pada masa
yang akan datang, baik jangka pendek maupun jangka panjang. Berbagai pilihan
investasi akan dihadapi oleh para investor, baik investor individu maupun
investor kelompok. Berdasarkan bentuknya, investasi dapat dibedakan menjadi dua
jenis, yaitu:
a.       Investasi
pada sektor riil, seperti peralatan, properti, dll.
b.  Investasi
pada sektor finansial, baik instrumen investasi pada pasar uang maupun
instrumen investasi pada pasar modal, seperti obligasi dan saham maupun
derivatifnya.
Berdasarkan analisis faktor risiko yang
kemudian menentukan return saham tersebut akan menjadi pertimbangan bagi
investor dalam mengambil keputusan. Keputusan investor merupakan perwujudan
dari suatu perilaku atas respon investor dari berbagai faktor yang mempengaruhi
iklim investasinya. Faktor utama yang menjadi pertimbangan investor atas
keputusan investasinya adalah ekspektasi terhadap return dan risiko.
Beberapa konsep dasar yang diperlukan
dalam melakukan analisis fundamental adalah:
1.     
Return
investasi individual
Tujuan utama suatu kegiatan investasi adalah untuk
menghasilkan return (hasil) sebagaimana dikemukakan oleh Penman (2003) bahwa “The objective of investing is to earn
returns, and the objective of fundamental analysis is to forecast and value
this returns”. Pada dasarnya seluruh jenis investasi mempunyai return yang
sama yaitu berupa net cash inflow
yang dihasilkan dari kegiatan investasi. Namun komponen pembentuk return akan
berbeda bagi setiap jenis investasi. Return dapat diartikan sebagai hasil atau
pengembalian dari investasi berupa pendapatan bunga, pendapatan dividen, capital gain, dll. Fischer dan Jordan
(1995) mengemukakan bahwa “ Return is the
motivating force and the principal reward in the investment process, and it is
the key method available to investors in comparing alternative investments”.
Bagi investasi riil, return berupa net cash flow yang dihasilkan dari
aktivitas operasi atas proyek investasi; bagi investasi obligasi akan
menghasilkan return berupa pendapatan bunga atas obligasi (bond yield); sedangkan bagi investasi saham akan menghasilkan
return berupa pendapatan dividen (dividend
yield) dan pendapatan dari selisih harga (capital gain). 
Jadi total return suatu investasi aktiva
finansial dapat dihitung secara matematis: Return = Hasil + Perubahan
harga. Menurut Salomon Brothers (1989) dalam Elton dkk (2007) bahwa terdapat
tujuh variabel yang dapat mempengaruhi return sekuritas yaitu: (1) pertumbuhan
ekonomi, (2) siklus bisnis, (3) tingkat suku bunga jangka panjang, (4) tingkat
suku bunga jangka pendek, (5) inflasi, (6) kurs mata uang, dan (7) indeks pasar.
Return dapat dibedakan menjadi dua jenis yaitu return
ekspektasi dan return aktual. Menurut Rose, Westerfield, dan Jaffe (2010)
bahwa “Expected return is the return that
an individual expects a stock to earn over the next period”. Untuk mengukur besarnya return saham
aktual digunakan rumus (Jogiyanto, 2008) sebagaimana ditunjukkan pada Persamaan
10.1.
      Keterangan:
      Rit = Return
individual realisasi pada periode t
      Pt = Harga
saham pada periode t
      Pt-1 = Return
individual realisasi pada periode t-1
      Dt = Dividen
pada periode t
Untuk menjelaskan penghitungan return saham di atas, sebagai
ilustrasi digunakan data harga pasar saham dan pembayaran dividen PT United
Tractors Tbk di Bursa Efek Indonesia sebagaimana ditunjukkan pada Tabel 10.1.
Tabel 10.1. Harga pasar saham, pembayaran dividen,
dan return saham PT United Tractors Tbk
Tahun 
 | 
  
Harga pasar (Rp) 
 | 
  
Pembayaran dividen*) (Rp) 
 | 
  
Capital gain (%) 
 | 
  
Dividend yield (%) 
 | 
  
Return saham (%) 
 | 
 
2005 
 | 
  
5.400 
 | 
  
0 
 | 
  |||
2006 
 | 
  
7.550 
 | 
  
0 
 | 
  
39,81 
 | 
  
0 
 | 
  
39,81 
 | 
 
2007 
 | 
  
10.900 
 | 
  
0 
 | 
  
44,37 
 | 
  
0 
 | 
  
44,37 
 | 
 
2008 
 | 
  
4.400 
 | 
  
0 
 | 
  
(59,63) 
 | 
  
0 
 | 
  
(59,63) 
 | 
 
2009 
 | 
  
15.500 
 | 
  
0 
 | 
  
252,27 
 | 
  
0 
 | 
  
252,27 
 | 
 
Sumber: Fact book Bursa Efek Indonesia
Keterangan *) Asumsi penulis
Berdasarkan Tabel 10.1 di atas menunjukkan bahwa harga
pasar saham PT United Tractors Tbk sangat fluktuatif. Apabila diasumsikan tidak
ada pembayaran dividen maka return saham aktual sama dengan capital gain yang
ditunjukkan pada kolom return saham. Nilai return saham akan berfluktuasi
sejalan dengan harga pasar saham. 
2.     
Risiko
investasi
Risiko dapat diartikan sebagai
variabilitas return terhadap return yang diharapkan. Hal ini sejalan dengan
pernyataan Jones (2007) bahwa “Risk is
defined here as the chance that the actual return on an investment will be
different from its expected return”. Apa yang menyebabkan timbulnya risiko
bagi aktiva finansial? Menurut Jones (2007) terdapat delapan faktor yang dapat
menyebabkan timbulnya risiko bagi suatu aktiva finansial, yaitu: (1) risiko
tingkat suku bunga, (2) risiko pasar, (3) risiko inflasi, (4) risiko bisnis,
(5) risiko finansial, (6) risiko likuiditas, (7) risiko nilai tukar, (8) risiko
Negara.
3.      Return dan risiko pasar
Setiap investasi yang dilakukan oleh
investor, baik investasi pada sektor riil maupun investasi finansial tidak
terlepas dari pengaruh pasar. Oleh karena itu, pada analisis investasi perlu
memperhitungkan return dan risiko pasar. Return pasar merupakan pengukuran
return portofolio pasar yang dihitung berdasarkan perubahan indeks pasar modal
sebagai proksi indeks pasar. Rumus yang digunakan sebagaimana dikemukakan oleh
Jogiyanto (2008) ditunjukkan pada Persamaan 10.2.
Untuk menjelaskan penghitungan return pasar di atas, sebagai
ilustrasi digunakan data indeks harga saham gabungan (IHSG) Bursa Efek
Indonesia sebagaimana ditunjukkan pada Tabel 10.2.
Tabel 10.2. Indeks harga saham gabungan (IHSG) Bursa
Efek Indonesia
Tahun 
 | 
  
IHSG 
 | 
  
Return Pasar (%) 
 | 
 
2001 
 | 
  
392 
 | 
  |
2002 
 | 
  
425 
 | 
  
8,39 
 | 
 
2003 
 | 
  
679 
 | 
  
59,86 
 | 
 
2004 
 | 
  
1.000 
 | 
  
47,24 
 | 
 
2005 
 | 
  
1.163 
 | 
  
16,24 
 | 
 
2006 
 | 
  
1.806 
 | 
  
55,34 
 | 
 
2007 
 | 
  
2.746 
 | 
  
52,05 
 | 
 
2008 
 | 
  
1.355 
 | 
  
-50,66 
 | 
 
2009 
 | 
  
2.534 
 | 
  
87,01 
 | 
 
Sumber: Bank Indonesia
Berdasarkan Tabel 10.2 di atas menunjukkan return pasar
saham di Indoensia mengalami fluktuasi. Nilai return pasar akan berfluktuasi
sejalan dengan fluktuasi indeks harga saham gabungan. Fluktuasi return pasar
juga dapat dilihat pada Gambar 10.1.
Gambar 10.1.
Return pasar saham di Indonesia
Sedangkan
risiko pasar menunjukkan risiko yang timbul karena adanya pengaruh faktor pasar
yang tidak dapat dihilangkan dengan cara diversifikasi investasi.
Untuk menghitung besarnya risiko
pasar digunakan rumus varians return pasar (Jogiyanto, 2008) sebagaimana
ditunjukkan pada Persamaan 10.3.
Keterangan:
sM2 = varians pasar (tingkat risiko pasar)
si2
= Varians saham individual (risiko saham individual)
sei2 = Varians residual saham individual
bi2 = Beta kuadrat 
4.     
Tingkat
return aktiva bebas risiko
Untuk mengukur tingkat return aktiva bebas risiko
digunakan pendekatan tingkat suku bunga, sebagaimana disebutkan oleh Brigham, Gapenski,
dan Ehrnhardt (1999) “generally taken to
be the yield on a long-term U.S. Treasury bond”. Pada penelitian-penelitian
pasar modal yang dilakukan di Indonesia digunakan tingkat suku bunga Sertifikat
Bank Indonesia (SBI) sebagai proksi tingkat return aktiva bebas risiko. 
5.     
Beta
Saham
Risiko yang relevan dalam permasalahan investasi saham
adalah risiko yang tidak dapat dihilangkan sama sekali atau risiko
sistematisnya, sehingga dalam hal ini risiko yang diperhitungkan adalah risiko
sistematis yang diukur dengan beta. Hal ini sejalan dengan yang dikemukakan
oleh Jogiyanto (2008) bahwa beta adalah pengukur risiko sistematis dari suatu
saham atau portofolio relatif terhadap risiko pasar. Menurut Elton, gruber,
Brown, dan Goetzmann (2007) bahwa “Beta
is risk measure that arises from the relationship between the return on a
stock, and the return on the market”.
Pada umumnya, ada dua pendekatan yang dapat digunakan
untuk menghitung beta, yaitu:
1)     
Menurut Elton, Gruber, Brown,
dan Goetzmann (2007) untuk mengestimasi beta dapat digunakan pendekatan pasar
atau Model Indeks Tunggal dengan menggunakan teknik statistik regresi. Rumus
yang digunakan sebagaimana ditunjukkan pada Persamaan 10.4.
Keterangan:
Rit = Return saham I pada periode t
Rmt = Return saham pada periode t
ai = Konstanta (unique return)
bi = Beta saham 
eit = Residual error saham i pada
periode t.
2)     
Menurut Radcliffe (1997) untuk
mengestimasi beta dapat dilakukan dengan mengukur volatilitas antara return
suatu saham dengan return pasar. Rumus yang digunakan sebagaimana ditunjukkan
pada Persamaan 10.5.
Keterangan:
bi = Beta saham
sim = Covarians antara return saham i dengan return
pasar
sm2 = Varians pasar
Rm = Return pasar
pada periode t
Ri = Return saham i
pada periode t.
Menurut Rose, Westerfield, dan
Jaffe (2010) bahwa “Variance and standard
deviation are many ways to assess the volatility of a security’s return. One of
the most common is variance, which is a measure of the squared deviations of a
security’s return from its expected return”. Selanjutnya, Rose, Westerfield,
dan Jaffe (2010) bahwa “Covariance and
Correlation is a return on individual securities are related to one another”.
Menurut Jogiyanto (2008) bahwa
Beta untuk portofolio pasar adalah bernilai 1. Suatu sekuritas yang mempunyai
Beta lebih kecil dari 1 dikatakan berisiko lebih kecil dari risiko portofolio
pasar. Sebaliknya, suatu sekuritas yang mempunyai nilai Beta lebih besar dari 1
dikatakan dikatakan mempunyai risiko sistematik yang lebih besar dari risiko
pasar. Jika suatu sekuritas mempunyai Beta sama dengan Beta portofolio pasar
atau sama dengan 1, maka diharapkan sekuritas ini mempunyai return ekspektasi
yang sama dengan return ekspektasi portofolio pasar atau E(RM).
Untuk sekuritas individual yang mempunyai Beta lebih kecil (besar) dari satu,
maka diharapkan akan mendapatkan return ekspektasi lebih kecil (besar)
dibandingkan dengan return ekspektasi portofolio pasar. 
Jadi berdasarkan penjelasan di atas dapat disimpulkan
bahwa analisis fundamental (fundamental
analysis) merupakan suatu upaya untuk mengestimasi harga sekuritas di masa
yang akan datang dengan mempertimbangkan faktor-faktor fundamental secara top-down. Kerangka analisis fundamental secara
top-down ditunjukkan pada Gambar 10.2.
 Gambar 10.2. Model analisis fundamental secara top-down
Berdasarkan kerangka pada
Gambar 10.2 di atas menunjukkan bahwa analisis fundamental meliputi:
1.     
Analisis faktor-faktor makro ekonomi
Faktor-faktor fundamental ekonomi
merupakan variabel-variabel makroekonomi dan industri yang menjadi indikator
kinerja perekonomian yang dicapai oleh suatu negara. Variabel ini menggambarkan
fundamental ekonomi suatu negara. Faktor-faktor fundamental ekonomi dipandang
dalam konteks lingkungan ekonomi dari suatu sistem bisnis. Pasar modal sebagai
suatu sistem bisnis tentunya akan mendapat pengaruh dari lingkungan ekonominya.
Variabel-variabel makroekonomi yang
dianggap berpengaruh terhadap return saham adalah: tingkat inflasi, pendapatan
nasional, jumlah uang beredar, tingkat suku bunga, nilai tukar mata uang asing,
neraca pembayaran, APBN, dan tingkat pengangguran.
1)     
Tingkat
Inflasi
Inflasi (inflation) dapat diartikan sebagai kecenderungan kenaikan harga
barang-barang dan jasa yang berlaku secara umum dan berlangsung relatif lama.
Inflasi berpengaruh terhadap return saham. Hal ini sejalan dengan pernyataan
Reilly dan Brown (2006) bahwa “when
investors anticipated an increase in rate of inflation, they would increase
their required rates of return by a similar amount to derive constant rates of
return”. Menurut Dornbusch, Fischer, dan Startz (2008) bahwa “The inflation measure in the figure is the
rate of change of the consumer price index (CPI), the cost of a given basket of
goods representing the purchases of a typical urban consumer”.
Berdasarkan penjelasan di atas
dapat disimpulkan bahwa variabel Inflasi merupakan salah satu indikator
perekonomian suatu negara. Inflasi berpengaruh terhadap daya beli masyarakat
sehingga juga berpengaruh terhadap pendapatan riil masyarakat. Semakin tinggi
Inflasi suatu negara maka semakin rendah daya beli (purchasing power) masyarakat sehingga pendapatan riil juga menurun.
Daya beli masyarakat akan berpengaruh terhadap permintaan (demand) barang dan jasa yang dihasilkan oleh produsen sebagai
emiten. Semakin tinggi daya beli masyarakat maka semakin tinggi pula permintaan
barang dan jasa. Permintaan akan berpengaruh terhadap pendapatan produsen.
Artinya semakin tinggi permintaan suatu produsen maka akan semakin tinggi pula
pendapatan produsen tersebut. Dan pada akhirnya apabila pendapatan meningkat
maka cenderung diikuti pula peningkatan laba. Selanjutnya, para investor akan
merespon kondisi tersebut sehingga akan berpengaruh terhadap nilai suatu
sekuritas. Apabila para investor merespon positif terhadap kinerja emiten maka
nilai sekuritas yang diterbitkan emiten tersebut cenderung meningkat. Demikian
pula sebaliknya, apabila para investor merespon negatif maka nilai sekuritas
yang diterbitkan emiten tersebut cenderung menurun.
2)     
Tingkat
Suku Bunga
Tingkat suku bunga (interest rates) dapat diartikan sebagai biaya atas dana pinjaman
atau pendapatan atas investasi pada pasar uang. Hal ini sejalan dengan
pernyataan Dornbusch, Fischer, dan Startz (2008) bahwa “The interest rate states the rate of payment on a loan or other
investment, over and above principal repayment, in terms of an annual
percentage”.
Zafar, Urooj, dan Durrani (2008) telah
melakukan penelitian tentang volatilitas tingkat suku bunga dan return saham
pada Pasar Saham Karachi. Hasil penelitiannya menyimpulkan bahwa “conditional market returns and variance
parameters are very close to each other for both the models. Conditional market
returns have a negatively significant relation with the interest rates as in
USA and Korea. Thus we can easily predict the stock returns by analyzing
interest rates.”
Berdasarkan penjelasan di atas
dapat disimpulkan bahwa variabel tingkat suku bunga merupakan salah satu indikator
perekonomian suatu negara. Suku bunga berpengaruh terhadap dua hal yaitu (1)
daya beli untuk konsumsi masyarakat dan (2) selera investasi masyarakat.
Semakin tinggi suku bunga pada suatu negara maka semakin rendah daya beli (purchasing power) masyarakat. Kondisi
ini pula akan mengubah selera investasi masyarakat yang cenderung mengalihkan
investasinya dari pasar modal ke pasar uang. Daya beli masyarakat akan
berpengaruh terhadap permintaan (demand)
barang dan jasa yang dihasilkan oleh produsen sebagai emiten. Semakin tinggi
daya beli masyarakat maka semakin tinggi pula permintaan barang dan jasa.
Permintaan akan berpengaruh terhadap pendapatan produsen. Artinya semakin
tinggi permintaan suatu produsen maka akan semakin tinggi pula pendapatan
produsen tersebut. Dan pada akhirnya apabila pendapatan meningkat maka
cenderung diikuti pula peningkatan laba. Di samping itu, adanya perubahan
selera investasi masyarakat yang cenderung mengalihkan investasinya dari pasar
modal ke pasar uang sehingga harga sekuritas pada pasar modal cenderung
menurun. Selanjutnya, para investor akan merespon kondisi tersebut sehingga
akan berpengaruh terhadap nilai suatu sekuritas. Apabila para investor merespon
positif terhadap kinerja emiten maka nilai sekuritas yang diterbitkan emiten
tersebut cenderung meningkat. Demikian pula sebaliknya, apabila para investor
merespon negatif maka nilai sekuritas yang diterbitkan emiten tersebut
cenderung menurun.
3)     
Jumlah
Uang Beredar
Jumlah uang beredar (money supply) dapat diartikan sebagai nilai
uang yang beredar di masyarakat, kecuali bank komersial dan kas Negara.  Variabel
jumlah uang beredar juga salah satu indikator perekonomian suatu negara. Jumlah
uang beredar akan berpengaruh terhadap inflasi yang mana apabila jumlah uang
beredar meningkat maka cenderung tingkat inflasi akan meningkat. Demikian pula
sebaliknya, apabila jumlah uang beredar menurun maka tingkat inflasi cenderung
menurun. Pengaruh selanjutnya adalah sama dengan pengaruh inflasi terhadap
nilai suatu sekuritas.
4)     
Pendapatan
Nasional
Pendapatan nasional (national income) merupakan salah satu indikator kinerja
perekonomian yang dicapai oleh suatu Negara. Pendapatan nasional dapat
memberikan pengaruh terhadap iklim berinvestasi, termasuk iklim berinvestasi di
pasar modal. Salah satu konsep pengukuran pendapatan nasional adalah Produk
Domestik Bruto (gross domestic product).
Berdasarkan penjelasan di atas
dapat disimpulkan bahwa variabel PDB merupakan salah satu indikator
perekonomian suatu negara. Apabila PDB suatu negara mengalami peningkatan maka
perekonomian negara tersebut mengalami kemajuan. PDB berpengaruh terhadap daya
beli masyarakat. Semakin tinggi PDB suatu negara maka semakin tinggi pula daya
beli (purchasing power) masyarakat.
Daya beli masyarakat akan berpengaruh terhadap permintaan (demand) barang dan jasa yang dihasilkan oleh produsen sebagai
emiten. Semakin tinggi daya beli masyarakat maka semakin tinggi pula permintaan
barang dan jasa. Permintaan akan berpengaruh terhadap pendapatan produsen.
Artinya semakin tinggi permintaan suatu produsen maka akan semakin tinggi pula
pendapatan produsen tersebut. Dan pada akhirnya apabila pendapatan meningkat
maka cenderung diikuti pula peningkatan laba. Selanjutnya, para investor akan
merespon kondisi tersebut sehingga akan berpengaruh terhadap nilai suatu
sekuritas. Apabila para investor merespon positif terhadap kinerja emiten maka
nilai sekuritas yang diterbitkan emiten tersebut cenderung meningkat. Demikian
pula sebaliknya, apabila para investor merespon negatif maka nilai sekuritas
yang diterbitkan emiten tersebut cenderung menurun.
5)     
Nilai
Tukar Mata Uang Asing
Nilai tukar mata uang asing (foreign exchange rate) dapat diartikan
sebagai perbandingan nilai mata uang suatu negara terhadap mata uang Negara
lainnya. Misalnya, rupiah terhadap dollar AS. Menurut Dornbusch, Fischer, dan
Startz (2008) bahwa “The exchange rate is
the price of foreign currency”. 
Berdasarkan penjelasan di atas
dapat disimpulkan bahwa variabel nilai tukar merupakan salah satu indikator
perekonomian suatu negara. Nilai tukar berpengaruh terhadap dua hal yaitu (1)
daya beli untuk konsumsi masyarakat baik domestik maupun luar negeri dan (2)
selera investasi masyarakat. Apabila mata uang domestik mengalami depresiasi
terhadap mata uang asing maka ekspor negara tersebut cenderung mengalami
peningkatan dan sebaliknya impor negara tersebut cenderung mengalami penurunan.
Kondisi ini pula akan mengubah selera investasi masyarakat yang cenderung
mengalihkan investasinya dari pasar modal ke pasar uang. Daya beli masyarakat
akan berpengaruh terhadap permintaan (demand)
barang dan jasa yang dihasilkan oleh produsen sebagai emiten. Semakin tinggi
daya beli masyarakat maka semakin tinggi pula permintaan barang dan jasa.
Permintaan akan berpengaruh terhadap pendapatan produsen. Artinya semakin
tinggi permintaan suatu produsen maka akan semakin tinggi pula pendapatan
produsen tersebut. Dan pada akhirnya apabila pendapatan meningkat maka
cenderung diikuti pula peningkatan laba. Di samping itu, adanya perubahan
selera investasi masyarakat yang cenderung mengalihkan investasinya dari pasar
modal ke pasar uang sehingga harga sekuritas pada pasar modal cenderung
menurun. Selanjutnya, para investor akan merespon kondisi tersebut sehingga
akan berpengaruh terhadap nilai suatu sekuritas. Apabila para investor merespon
positif terhadap kinerja emiten maka nilai sekuritas yang diterbitkan emiten
tersebut cenderung meningkat. Demikian pula sebaliknya, apabila para investor
merespon negatif maka nilai sekuritas yang diterbitkan emiten tersebut
cenderung menurun.
6)     
Neraca
Pembayaran
Neraca pembayaran (balance of payment) merupakan salah satu indikator makroekonomi
yang menunjukkan perimbangan antara arus dana masuk dari luar negeri ke dalam
negeri dengan arus dana keluar dari dalam negeri ke luar negeri. Neraca
pembayaran dapat mempengaruhi aktivitas perekonomian suatu Negara karena akan
menentukan cadangan devisa. Komponen utama dari neraca pembayaran adalah
transaksi berjalan (neraca perdagangan) yang merupakan perimbangan ekspor dan
impor. Apabila neraca perdagangan dalam kondisi defisit maka neraca pembayaran
juga akan cenderung defisit kecuali dapat ditutupi oleh transaksi modal. Hal
ini yang akan mempengaruhi kegiatan perekonomian sehingga akan berpengaruh
terhadap iklim investasi, baik pada sektor riil maupun sektor keuangan.
7)     
Anggaran
Pendapatan dan Belanja Negara (APBN)
APBN (budgets) merupakan anggaran yang disusun oleh pemerintah berkaitan
dengan keuangan Negara. APBN merupakan pedoman bagi pemerintah dalam mengatur
keuangan Negara. Menurut Bodie, Kane, dan Marcus (2009) bahwa “The budget deficit of the federal government
is the difference between government spending and revenues. Any budgetary
shortfall must be offset by government borrowing. Large amounts of government
borrowing can force up interest rates by increasing the total demand for credit
in the economy”.
8)     
Pengangguran
Pengangguran (unemployment) merupakan suatu keadaan dimana angkatan kerja tidak
mendapatkan pekerjaan. Pengangguran
juga merupakan salah satu indikator perekonomian suatu negara. Pengangguran
akan mengakibatkan pendapatan masyarakat berkurang serta cenderung terjadi
ketidakstabilan keamanan dalam suatu negara. Apabila Tingkat Pengangguran dalam
suatu negara mengalami peningkatan maka perekonomian negara tersebut mengalami
penurunan. Pengangguran berpengaruh terhadap daya beli masyarakat. Semakin
tinggi Tingkat Pengangguran dalam suatu negara maka semakin rendah pula daya
beli (purchasing power) masyarakat.
Daya beli masyarakat akan berpengaruh terhadap permintaan (demand) barang dan jasa yang dihasilkan oleh produsen sebagai
emiten. Semakin rendah daya beli masyarakat maka semakin rendah pula permintaan
barang dan jasa. Permintaan akan berpengaruh terhadap pendapatan produsen.
Artinya semakin rendah permintaan suatu produsen maka akan semakin rendah pula
pendapatan produsen tersebut. Dan pada akhirnya apabila pendapatan menurun maka
cenderung diikuti pula penurunan laba. Selanjutnya, para investor akan merespon
kondisi tersebut sehingga akan berpengaruh terhadap nilai suatu sekuritas.
Apabila para investor merespon negatif terhadap kinerja emiten maka nilai
sekuritas yang diterbitkan emiten tersebut cenderung menurun. Demikian pula
sebaliknya, apabila para investor merespon positif maka nilai sekuritas yang
diterbitkan emiten tersebut cenderung meningkat.
Secara grafis hubungan antara variabel-variabel makroekonomi terhadap nilai suatu sekuritas ditunjukkan pada Gambar 10.3.
 Gambar 10.3. Hubungan
antara variabel-variabel makroekonomi terhadap nilai pasar sekuritas
Hasil-hasil penelitian 10 tahun terakhir
tentang hubungan antara faktor-faktor fundamental ekonomi dengan return saham
sebagai berikut:
1.  Flannery
dan Protopapadakis (2002) telah meneliti tentang hubungan antara
variabel-variabel makroekonomi dengan return saham. Pada penelitian ini, mereka
mengkaji faktor inflasi dan pertumbuhan uang. Hasil penelitiannya menyimpulkan
bahwa return saham secara signifikan berkaitan dengan inflasi dan pertumbuhan
uang. 
2.   Boyer
dan Filian (2004) telah melakukan penelitian tentang faktor-faktor fundamental
ekonomi yang menentukan return saham perusahaan-perusahaan minyak dan gas
Kanada. Hasil penelitian ini disimpulkan bahwa return pasar saham Kanada, dan
peningkatan harga minyak mentah dan gas alam berhubungan positif dengan return
saham. Sedangkan tingkat suku bunga, volume produksi, dan pelemahan dollar
Kanada terhadap dollar Amerika Serikat berhubungan negatif dengan return saham.
3.  Goriaev
(2004) telah melakukan penelitian tentang faktor-faktor fundamental yang
merupakan sumber risiko pada Pasar Saham Rusia. Pada faktor-faktor fundamental
ekonomi yang diteliti adalah oil, currency, bond spreads, dll. 
4.  Poitras
(2004) telah melakukan penelitian tentang variabel-variabel ekonomi makro
kaitannya dengan return saham. Hasil penelitiannya menyimpulkan bahwa tidak ada
pengaruh secara signifikan pengumuman variabel-variabel ekonomi makro terhadap
harga saham.
5.   Al-Zubi
dan Salameh (2007) telah melakukan penelitian tentang hubungan antara
variabel-variabel ekonomi dengan return saham pada sektor industri di Jordania.
Pada penelitian ini, mereka mengkaji empat variabel ekonomi yaitu industrial production, expected inflation, unanticipated inflation, dan term
structure. Hasil penelitiannya menyimpulkan bahwa apabila mempertimbangkan
return tanpa dividen maka hanya ada dua variabel yang benar-benar mempengaruhi
return saham yaitu expected inflation
dan unanticipated inflation sedangkan
apabila mempertimbangkan dividen maka hanya ada satu variabel yang mempengaruhi
return saham yaitu unticipated inflation.
6.  Kandir
(2008) telah melakukan penelitian tentang peranan faktor-faktor makroekonomi
dalam menjelaskan return saham Turki. Pada penelitian ini, Kandir menggunakan
faktor growth rate of industrial
production index, change in consumer
price index, growth rate of narrowly
defined money supply, change in
exchange rate, interest rate, growth rate of international crude oil price,
dan return on the MSCI World Equity Index.
Hasil penelitiannya menunjukkan bahwa exchange
rate, interest rate, dan world market return mempengaruhi seluruh
return portofolio, sementara inflation
rate hanya signifikan pada tiga dari 12 return portofolio. Sedangkan industrial production, money supply dan oil prices tidak mempunyai pengaruh secara signifikan terhadap
return saham.
2.     
Analisis industri
Industri dapat diartikan sebagai
kelompok perusahaan yang sejenis. Analisis terhadap suatu industri diperlukan
dengan pertimbangan bahwa setiap industri memiliki karakteristik yang berbeda
sehingga memberikan dampak risiko yang berbeda terhadap investasi saham pada
pasar saham. Dengan demikian berarti bahwa setiap jenis industri pada waktu
yang bersamaan akan memberikan tingkat return yang berbeda. 
Pada setiap pasar modal di setiap negara
telah melakukan pengklasifikasian berdasarkan jenis-jenis industri. Misalnya,
Bursa Efek Indonesia telah mengklasifikasi emiten ke dalam sembilan sektor
industri. 
Di samping itu, analsis terhadap
karakteristik industri dapat dibedakan dari kinerja masing-masing industri yang
dapat diukur dengan beberapa faktor antara lain: (1) Return on equity, (2) Earnings
per share, (3) Industry’s operating
profit margin, (4) Price earnings ratio, (5) Price/book value ratio, (6) Price/cash flow ratio, dan (7) Price/sales ratio.
Hasil-hasil penelitian terdahulu tentang
hubungan antara return saham dengan faktor-faktor industri adalah sebagai
berikut:
1) Bauer,
Pavlov, dan Schotman (2004) telah meneliti tentang prediksibilitas return saham
berdasarkan data panel saham-saham individual kaitannya dengan pengaruh
karakteristik industri. Hasil penelitiannya menemukan bahwa efek industri
signifikan yang diindikasikan oleh ukuran (size)
dan momentum. Selanjutnya, mereka
menemukan bahwa return ekspektasi pada umumnya berkaitan dengan cash flow-to-price ratio dan analyst earnings revisions sebagai
momentum.
2)  Hou
dan Robinson (2006) telah meneliti tentang konsentrasi industri kaitannya
dengan return saham. Pada penelitian ini, mereka mengkaji beberapa faktor
fundamental perusahaan yang mempengaruhi return saham antara lain: size, book-to-market, dan momentum.
Hasil penelitiannya menyimpulkan bahwa perusahaan yang berada dalam industri
yang semakin terkonsentrasi akan menghasilkan return yang lebih rendah.
3)  Chan,
Lakonishok, dan Swaminathan (2007) telah meneliti tentang klasifikasi industri
dengan pergerakan return saham pada pasar modal Amerika Serikat. Hasil
penelitiannya menyimpulkan bahwa industri dapat berpengaruh terhadap
volatilitas return saham sebagaimana menyatakan bahwa “their common response to industry effects may be drowned out by the
higher volatility in small stock returns.”
Berdasarkan penjelasan di atas
dapat disimpulkan bahwa analisis industri bertujuan menentukan jenis-jenis industri
yang menguntungkan sebagai sebagai suatu kegiatan investasi, baik investasi
tunggal maupun investasi portofolio. Variabel-variabel analisis industri adalah:
1)      Estimasi tingkat keuntungan industri
Tingkat keuntungan industri
merupakan tingkat keuntungan rata-rata seluruh perusahaan yang berada dalam
industri tersebut. Suatu industri yang diestimasi memiliki tingkat keuntungan
yang cenderung menurun maka industri tersebut cenderung direspon negatif oleh
investor. Untuk menilai tingkat keuntungan industri dapat dilakukan prosedur
sebagai berikut:
Tahap I.
Tentukan parameter atau indikator yang digunakan, seperti ROA, ROE, GPM, OPM,
NPM.
Tahap II.
Identifikasi nilai-nilai parameter setiap perusahaan tersebut kemudian hitung
rata-rata tingkat keuntungan industri.
Tahap III.
Lakukan forecasting terhadap nilai-nilai parameter tersebut
Tahap IV.
Lakukan analisis terhadap tingkat keuntungan industri tersebut.
2)      Estimasi earning per share (EPS) industri
EPS industri merupakan EPS
rata-rata seluruh perusahaan yang berada dalam industri tersebut. Suatu
industri yang diestimasi memiliki EPS yang cenderung menurun maka industri
tersebut cenderung direspon negatif oleh investor. Untuk menilai tingkat
keuntungan industri dapat dilakukan prosedur sebagai berikut:
Tahap I.
Identifikasi nilai-nilai EPS setiap perusahaan kemudian hitung rata-rata EPS
industri.
Tahap II. Lakukan
forecasting terhadap nilai-nilai EPS tersebut
Tahap III.
Lakukan analisis terhadap EPS industri tersebut.
3)      Persaingan dan return industri yang
diharapkan
4)      Estimasi earning multiplier industri
3.     
Analisis perusahaan
Faktor-faktor fundamental perusahaan
ditunjukkan oleh kinerja keuangan dan keputusan-keputusan penting pada fungsi
keuangan perusahaan yang merupakan indikator kinerja manajemen perusahaan.
Dalam hal ini, yang dimaksud dengan 
perusahaan adalah emiten-emiten yang terdaftar pada Bursa Efek. Analisis
terhadap kinerja keuangan emiten dapat dilakukan melalui analisis terhadap
laporan keuangan sedangkan analisis terhadap keputusan-keputusan strategis di
bidang keuangan adalah keputusan-keputusan yang berimplikasi jangka panjang di
bidang keuangan.
Analisis terhadap laporan keuangan
merupakan metode yang digunakan para pengguna untuk mencari informasi guna
menjawab pertanyaannya tentang perusahaan (Penman, 2003). 
Analisis terhadap kinerja keuangan
emiten menggambarkan kekuatan dan kelemahan aspek finansial suatu perusahaan
sehingga akan merefleksikan suatu risiko bagi suatu perusahaan. 
Analisis terhadap kinerja keuangan
emiten dapat dikelompokkan ke dalam lima bagian yaitu: (1) Analisis Likuiditas,
(2) Analisis Solvabilitas, (3) Analisis Profitabilitas, (4) Analisis
Pertumbuhan Perusahaan, dan (5) Analisis Nilai Tambah. Sebagian besar analisis
ini telah dijelaskan pada bagian sebelumnya.
Hasil-hasil penelitian terdahulu tentang
pengaruh faktor-faktor fundamental perusahaan terhadap return saham ditunjukkan
sebagai berikut:
1.      Quiros
dan Timmermann (2000) telah melakukan penelitian tentang ukuran perusahaan
kaitannya dengan return saham. Hasil penelitiannya menyimpulkan bahwa
perusahaan yang berukuran kecil memiliiki risiko yang relatif besar terhadap
resesi dan memiliki return yang sangat sensitif terhadap siklus perekonomian.
2.    Lewellen
(2000) telah meneliti tentang prediksibilitas return saham berdasarkan book-to-market ratio kaitannya estimasi
risiko. Hasil penelitiannya menunjukkan bahwa: (1) return saham dapat
diprediksi secara cross-section dan
secara time series, dan (2) sesuai
dengan penetapan harga yang rasional, book-to
market signifikan menentukan risiko tetapi tidak memberikan informasi
tambahan tentang return ekspektasi.
3.  Liu
dan Thomas (2000) telah meneliti tentang penggunaan laba akuntansi untuk
menjelaskan return saham. Hasil penelitiannya menunjukkan bahwa kesimpulan
tentang kesesuaian nilai laba akuntansi yang dibuat dari regresi sederhana unexpected returns atas current unexpected earnings adalah
menyesatkan.
4.  Penman
dan Zhang (2002) telah melakukan penelitian tentang kualitas laba (return on net operating asset) yang
dipengaruhi oleh investasi serta kaitannya dengan return saham. Hasil
penelitiannya menyimpulkan bahwa kualitas laba dapat digunakan untuk
memprediksi return saham.
5.      Kothari,
Lewellen, dan Warner (2003) telah melakukan penelitian tentang return saham
kaitannya dengan laba. Hasil penelitiannya menyimpulkan dua hal yaitu: (1)
return tidak berkaitan dengan laba masa lalu dan menyarankan bahwa harga saham
kurang bereaksi bukan berlebihan reaksi terhadap pengumuman laba agregat, dan
(2) agregat return berkorelasi secara negatif dengan laba berjalan. 
6.    Balke
dan Wohar (2006) telah meneliti tentang pertumbuhan dividen kaitannya harga
saham. Hasil penelitiannya menyimpulkan bahwa ekspektasi pertumbuhan dividen di
masa yang akan datang merupakan penentu utama terhadap pergerakan harga saham.
7.  Majumdar
dan Bacon (2007) telah melakukan penelitian tentang pengaruh variabel-variabel
keuangan yang signifikan terhadap risiko. Pada penelitian ini mereka
menjelaskan return sebagai fungsi variabel keuangan yang meliputi: price to earnings per share ratio, price to book ratio, financial leverage, dividend yield, firm size,
dan beta. Hasil penelitiannya
menunjukkan bahwa beta, firm size, dan dividend yield sebagai variabel independen yang menentukan return
saham.
8.   Park
(2007) telah melakukan penelitian tentang dividend–price
ratio untuk memprediksi return saham. Hasil penelitiannya menyimpulkan
bahwa dividend-price ratio tidak
konsisten untuk digunakan dalam memprediksi return saham. Sebagaimana ia
menyatakan bahwa “the dividend-price
ratio shows strong predictive power during a certain period, while it has weak
or no predictive power at other times. However, this paper shows that the
predictive power of the dividend-price ratio varies over time depending on its
persistence.”
9.     Chaopricha,
Chan, dan Pollard (2007) telah melakukan penelitian tentang pengaruh
karakteristik perusahaan terhadap return saham. Pada penelitian ini, mereka
mengkaji karakteristik perusahaan yang dicirikan oleh market-to-book value ratio, size,
dan price-earning ratio.
10. Martani,
Mulyono, dan Khairurizka (2009) telah melakukan penelitian tentang nilai-nilai
yang relevan atas informasi akuntansi dalam menjelaskan return saham pada pasar
modal Indonesia. Pada penelitian ini, mereka mengkaji berbagai faktor
fundamental perusahaan, seperti profitabilitas, likuiditas, leverage, rasio
pasar, ukuran perusahaan, dan arus kas sebagai informasi akuntansi. Hasil
penelitiannya menyimpulkan bahwa profitabilitas, rasio turnover dan rasio pasar
mempunyai pengaruh signifikan terhadap return saham.
11.  Senthilkumar
(2009) telah melakukan penelitian tentang hubungan antara ekspektasi return
saham (expected stock return) dengan
ukuran perusahaan (size) dan market-to-book ratio (M/B ratio) pada lima industri di India.
Hasil penelitiannya menyimpulkan bahwa:
1)   Faktor
Size (ukuran) perusahaan mempunyai
hubungan negatif dengan return saham tetapi kurang signifikan pengaruhnya.
Namun demikian, perusahaan kecil mempunyai rata-rata return yang lebih tinggi
dari perusahaan besar.
2)    Faktor
M/B ratio mempunyai hubungan positif
dan peranan yang sangat kuat terhadap rata-rata return.
12. Allen
dan Bujang (2009) telah melakukan penelitian tentang return saham dan kaitannya
dengan fundamental perusahaan di Malaysia. Pada penelitian ini, mereka mengkaji
tentang dividend price ratio dan dividend yields sebagai faktor
fundamental perusahaan. Hasil penelitiannya menyimpulkan bahwa dividend price ratio dan dividend yields model mempunyai pengaruh
yang signifikan dan merupakan prediktor return saham yang superior.
Berdasarkan penjelasan di atas
dapat disimpulkan bahwa analisis perusahaan bertujuan menentukan perusahaan yang
memiliki prospek yang baik dalam industri yang terpilih sebagai tempat
berinvestasi, baik investasi tunggal maupun investasi portofolio.
Analisis
Investasi: Analisis Teknikal
Analisis teknikal merupakan
suatu upaya untuk mengestimasi harga sekuritas berdasarkan pola pergerakan
harga sekuritas pada masa lalu. Teknik-teknik analisis yang dapat digunakan dalam analisis teknikal adalah:
1.      Teori Dow
Teori ini pertama kali
dikembangkan oleh Charles H. Dow yang bertujuan untuk mengidentifikasi trend
harga pasar saham dalam jangka panjang dengan berdasar pada data historis harga
pasar saham. Teori ini menjelaskan bahwa pergerakan harga saham bisa
dikelompokkan menjadi tiga, yaitu:
1)      Trend primer (primary trend)
Trend primer merupakan pergerakan harga
saham dalam jangka waktu yang lama (beberapa tahun).
2)      Trend sekunder (secondary trend)
Trend sekunder merupakan pergerakan harga
saham yang terjadi selama pergerakan harga dalam trend primer yang biasanya
terjadi dalam beberapa minggu atau beberapa bulan.
3)      Trend minor (minor trend)
Trend minor merupakan fluktuasi harga
saham yang terjadi setiap hari.
Untuk menggambarkan pola
pergerakan harga-harga saham dalam trend primer dapat ditemukan dua kondisi, yaitu:
- Pasar
     dalam kondisi bergairah (bull market = bullish) yaitu ketika pergerakan
     harga-harga saham cenderung untuk naik.
 - Pasar
     dalam kondisi lesu (bear market = bearish) yaitu ketika pergerakan
     harga-harga saham cenderung menurun.
 
2.      Metode Grafik
Teknik lain untuk menggambarkan
pergerakan harga pasar saham adalah dengan menyusun grafik dari pergerakan
harga saham secara individual selama waktu tertentu. Metode grafik dapat berupa diagram batang (bar chart) atau diagram kombinasi angka
dan gambar (point-and-figure chart).
3.      Metode rata-rata bergerak
Teknik rata-rata bergerak (moving average) adalah salah satu teknik
yang dipakai dalam analisis teknikal untuk mendeteksi dan menganalisis
pergerakan harga saham baik saham individual maupun seluruh saham di pasar modal.
Data yang dipakai adalah data harga penutupan saham (closing price) untuk waktu tertentu (misalnya 200-harian).
4.      Analisis kecenderungan
Analisis kecenderungan dapat
digunakan untuk meramal harga saham secara time-series dengan asumsi bahwa
fluktuasi harga saham tidak dipengaruhi faktor-faktor lain, selain karena
pengaruh waktu.
5.      Analisis regresi
Metode regresi dapat digunakan
untuk meramalkan harga pasar saham pada masa yang akan datang dengan asumsi
bahwa fluktuasi harga saham dipengaruhi oleh faktor-faktor lain. Apabila hanya
satu faktor yang mempengaruhi dapat digunakan regresi sederhana dan apabila
lebih dari satu faktor dapat digunakan regresi berganda.
Analisis Investasi: Model-model
Penilaian Sekuritas
Sekuritas Jangka Panjang
Sekuritas jangka panjang
merupakan sekuritas yang diterbitkan oleh emiten dengan batas jatuh tempo lebih
satu tahun (jangka panjang). Sekuritas jangka panjang diperdagangkan di pasar
modal berupa saham dan obligasi. Saham merupakan surat tanda kepemilikan
sedangkan obligasi merupakan surat tanda utang. Di samping itu, sekuritas
jangka panjang juga dapat diterbitkan oleh pemerintah.
Penilaian terhadap sekuritas
jangka panjang dapat ditinjau dari tiga konsep, yaitu:
1.      Nilai Buku (Book Value/BV)
Nilai buku merupakan nilai
historis dari suatu aktiva. Nilai buku dari suatu aktiva sekuritas adalah nilai
perolehan sekuritas tersebut.
2.      Nilai Pasar (Market Value/MV)
Nilai pasar merupakan nilai
aktiva berdasarkan mekanisme pasar (permintaan dan penawaran) pasar. Semakin
tinggi permintaan pasar maka semakin tinggi nilai aktiva tersebut. Sebaliknya,
semakin tinggi penawaran pasar maka semakin rendah nilai aktiva tersebut. 
3.      Nilai Intrinsik (Intrinsic Value/IV)
Nilai intrinsik suatu aktiva
sekuritas merupakan harga sekuritas yang seharusnya jika dihargai secara benar
berdasarkan faktor-faktor penunjangnya.
Penilaian terhadap sekuritas jangka panjang
diperlukan baik oleh emiten maupun investor. Bagi emiten, penilaian terhadap
sekuritas diperlukan untuk mengestimasi respon investor terhadap sekuritas yang
diterbitkan sedangkan bagi investor berguna untuk mengestimasi prospek
keuntungan yang akan diperoleh investor. Secara umum, penilaian terhadap
sekuritas dilakukan untuk mengukur besarnya nilai intrinsik (nilai sebenarnya)
atas suatu sekuritas yang kemudian akan dibandingkan dengan harga pasar
sekuritas tersebut. Apabila hasil perhitungan nilai intrinsik dibandingkan
dengan nilai pasar maka akan ditemukan tiga kemungkinan, yaitu:
1.      Nilai intrinsik lebih besar dari nilai
pasar
Apabila nilai intrinsik suatu
sekuritas lebih besar dari nilai pasarnya maka sekuritas tersebut dalam keadaan
undervalued. Jadi sebaiknya current investor menahan sekuritas tersebut
sedangkan bagi potential investor sebaiknya membeli sekuritas tersebut. Hal ini
dilakukan untuk mencapai keuntungan yang lebih besar.
2.      Nilai intrinsik sama dengan nilai pasar
Apabila nilai intrinsik suatu
sekuritas sama dengan nilai pasarnya maka keputusan bagi investor besifat
relatif (fifty-fifty). Sebenarnya keadaan seperti ini sangat sulit ditemukan.
3.      Nilai intrinsik lebih kecil dari nilai
pasar
Apabila nilai intrinsik suatu
sekuritas lebih kecil dari nilai pasarnya maka sekuritas tersebut dalam keadaan
overvalued. Jadi sebaiknya current investor melepas sekuritas
tersebut sedangkan bagi potential investor sebaiknya tidak membeli
sekuritas tersebut. Hal ini dilakukan untuk menghindari kerugian yang lebih
besar.
Konsep Nilai Sekarang dan Nilai akan
Datang
Konsep nilai sekarang atau present
value (PV) dan nilai akan datang atau future value (FV)
sangat penting keberadaannya dalam penilaian terhadap sekuritas jangka panjang.
Kedua konsep ini dasarkan pada prinsip ”time value of money” dimana
nilai uang akan berbeda pada waktu yang berbeda pula. Nilai uang sekarang lebih
rendah dari nilai uang yang lalu dan lebih tinggi dari nilai uang yang akan
datang. Hal ini disebabkan oleh beberapa faktor antara lain faktor inflasi.
Perhitungan present value dan future value didasarkan atas dua jenis bunga, yaitu bunga sederhana (simple interest) dan bunga majemuk (compound interest). Bunga sederhana adalah bunga yang dibayar atau diterima berdasarkan jumlah modal awal sedangkan bunga majemuk adalah bunga yang dibayar atau diterima berdasarkan bunga sebelumnya yang dibayar atau diterima.
1.      Nilai Sekarang (Present Value/PV)
Penilaian atas Present Value
dibedakan berdasarkan kedua jenis bunga di atas:
a)      Bunga Sederhana
b)       Bunga
Manjemuk
2.      Nilai Masa Depan (Future Value/FV)
Penilaian atas Future Value
dibedakan berdasarkan kedua jenis bunga di atas:
a)       Bunga
Sederhana
b)       Bunga
Majemuk
Model-model Penilaian Sekuritas Jangka Panjang
Penilaian terhadap Sekuritas
Jangka Panjang menggunakan model yang berbeda sesuai dengan jenis sekuritasnya.
Dalam konteks ini terdapat dua jenis sekuritas jangka panjang yaitu Obligasi (Bond)
dan Saham (Stock).
1.      Penilaian terhadap Obligasi (Bond Valuation)
Penilaian terhadap obligasi
berbeda untuk setiap jenis obligasi. Secara umum terdapat dua jenis obligasi
yaitu obligasi tanpa batas jatuh tempo (perpetual bonds) dan obligasi
dengan jatuh tempo terbatas (bond with a finite maturity). Penilaian
terhadap kedua jenis obligasi tersebut menggunakan pendekatan yang berbeda
sebagai berikut:
a)      Obligasi tanpa batas jatuh tempo
Untuk menilai obligasi ini digunakan
pendekatan nilai sekarang (present value). Oleh karena itu, nilai
intrinsik (intrinsic value) obligasi adalah nilai sekarang (present
value) atas arus kas (cash flow) yang diterima selama periode yang
tidak terbatas. Model matematis yang dapat digunakan untuk menghitung nilai
intrinsik obligasi ini dapat digunakan Persamaan 10.12, 10.13., dan 10.14
sebagai berikut:
b)      Obligasi dengan jatuh tempo terbatas
Penilaian terhadap jenis obligasi ini
dapat digunakan dua model yaitu:
§  Non-Zero Coupon Bonds
§  Zero Coupon Bonds
2.      Penilaian terhadap Saham Preferen
Penilaian terhadap Saham
Preferen digunakan pendekatan present value dengan Persamaan 10.18 sebagai
berikut:
3.      Penilaian terhadap Saham Biasa
1)  Model Pertumbuhan Konstan (Costant Growth
Model)
Model pertumbuhan konstan merupakan salah
satu model yang digunakan untuk menilai harga saham biasa. Model ini
mengasumsikan bahwa:
o  
Tidak
semua laba (EPS) dibagi tetapi ada sebagian yang ditahan
o  
Laba
yang ditahan diinvestasikan kembali sehingga bisa menghasilkan keuntungan (ROE)
o  
Laba
per lembar saham (EPS) dan deviden yang dibagikan akan berkembang dari periode
dengan tingkat pertumbuhan yang sama
o  
Tingkat
pertumbuhan yang sama pada masa yang akan datang tidak terbatas
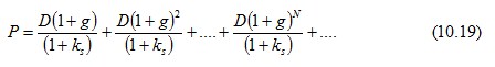
Penilaian terhadap Saham Biasa dengan Model
Pertmbuhan Konstan dapat digunakan Persamaan 10.19.
atau secara
sederhana diformulasikan dalam persamaan sum of geometric progression
sebagaimana ditunjukkan pada Persamaan 10.20 sebagai berikut:
 Persamaan 6.15 di atas
diturunkan dari Persamaan 10.21 sebagai berikut:
Keterangan:
P = nilai per lembar saham
D = deviden per lembar saham
k  = rate of return 
g = tingkat pertumbuhan
2) Discounted Cash Flow Model
Model ini didasarkan pada
konsep bahwa nilai saham yang adalah sama dengan present value dari cash
flow yang dapat diterima dari saham tersebut oleh investor. Present
value cash flow tersebut merupakan present value tersebut merupakan present
value dari seluruh dividen yang akan datang. Hal ini diasumsikan bahwa pemegang
saham cenderung menahan saham untuk satu periode. Pada periode ini, pemegang
saham akan menerima dividen dan nilai saham tersebut pada saat dijual.
Untuk
menghitung nilai saham biasa dengan Model Discounted Cash Flow dapat digunakan
Persamaan 10.22 sebagai berikut:
- Nilai saham jika dividen dibagi pada akhir periode:
 
Keterangan :
Pt     
= harga saham pada peride t
D t-1 = dividen yang diterima pada periode
t-1
P t-1 = harga saham pada periode t-1
Ks       = discount rate yang sesuai
Perkiraan harga saham yang akan dijual pada
satu periode yang akan datang dapat dihitung dengan Persamaan 10.23 sebagai
berikut:
Jadi pada akhirnya
nilai saham dapat dihitung dengan Persamaan 10.24 sebagai berikut:
3) Cross-Sectional Model
Model ini merupakan analisis
yang dilakukan terhadap banyak saham untuk periode waktu yang sama. Tujuan
analisis ini adalah untuk mengetahui bagaimana posisi suatu saham terhadap
saham-saham lainnya dengan menggunakan variabel tertentu.
Analisis Cross-Sectional
untuk penilaian saham dilakukan dengan cara membandingkan kewajaran harga suatu
saham terhadap saham-saham lainnya. Analisis ini dapat dilakukan dengan
menggunakan analisis present value maupun analisis price earning ratio (PER).
§  Analisis Cross-Sectional dengan menggunakan Price Earning Ratio
Salah satu faktor yang mempengaruhi Price
Earning Ratio (PER) adalah pertumbuhan dividen yang berarti juga laba.
Semakin tinggi pertumbuhan dividen, semakin tinggi PER apabila faktor-faktor
lain konstan. Oleh karena itu, salah satu cara untuk memperkirakan PER adalah
dengan menghubungkannya dengan pertumbuhan. Dari analisis Elton & Gruber
ditemukan hubungan antara PER dengan pertumbuhan sebagaimana ditunjukkan pada
Persamaan 10.25 sebagai berikut:
Apabila PER dipengaruhi
beberapa faktor, maka teknik yang digunakan adalah teknik regresi berganda yang
menggunakan tiga variabel yang mempengaruhi PER, yaitu (1) tingkat pertumbuhan,
(2) devidend payout rate, dan (3) mempunyai hubungan negatif. Dari hasil
analisis ditemukan persamaan PER sebagaimana ditunjukkan pada Persamaan 10.26
sebagai berikut:
Selanjutnya Elton & Gruber menganalisis model Cross-Sectional
pada kondisi pasar modal bullish (membaik) dan bearish
(memburuk). Pada kondisi bullish, model satu variabel sebagaimana dirumuskan
pada Persamaan 10.27 sebagai berikut:
Sedangkan pada kondisi bearish dirumuskan pada
Persamaan 10.28 sebagai berikut:
Apabila suatu saham mempunyai PER yang ditawarkan lebih
rendah dari PER yang diharapkan (diperkirakan), maka saham tersebut potensi
untuk dibel. Sedangkan apabila menawarkan PER yang lebih tinggi dari PER yang
diharapkan, maka saham tersebut potensi untuk dilakukan short selling.
- Analisis  Cross-Sectional Dengan Pendekatan dividen
     (cash flow). Dalam pendekatan ini ditunjukkan hubungan positif
     antara tingkat keuntungan yang diharapkan (r) dengan risiko (β), kemudian
     diregresikan, dimana r merupakan variabel depeden dan β merupakan variabel
     independen. Dari hasil
     analisis ditemukan hubungan antara r dengan β sebagai berikut:
 
Tabel 10.3. Analisis cross-section dengan pendekatan dividen (cash flow)
Saham 
 | 
  
Tingkat keuntungan 
Yang diharapkan (r) 
 | 
  
Risiko (β) 
 | 
 
1 
2 
 | 
  
0,20 
0,175 
 | 
  
1,10 
0,80 
 | 
 
Apabila suatu saham menawarkan
”r” yang lebih rendah dari ”r” yang diharapkan, maka sebaiknya saham tersebut
dijual karena dinilai kurang cukup untuk menutupi risiko yang diterima atau
memperoleh Excess return negatif. Sebaliknya, apabila suatu saham menawarkan
”r” lebih tinggi dari ”r” yang diharapkan, maka sebaiknya saham tersebut dibeli
karena memperoleh Excess return positif.
Analisis Investasi: Model-model Keseimbangan
Pada analisis investasi dikenal
pula model-model keseimbangan. Tujuan model keseimbangan adalah untuk menilai
suatu investasi melalui penentuan hubungan antara risiko dan return. Salah satu
model keseimbangan yang akan dibahas pada bagian ini adalah capital asset pricing model (CAPM).Teori Capital Asset Pricing
Model (CAPM) dapat diaplikasikan
oleh investor dalam pengambilan keputusan tentang rencana investasinya. 
Pada dasarnya Capital
Asset Pricing Model (CAPM)
merupakan hasil  pengembangan teori ilmu
ekonomi keuangan modern untuk memprediksi hubungan antara risiko suatu aktiva
dan return (keuntungan) yang diharapkan. 
1.      Garis
pasar modal
Garis pasar modal (GPM) atau capital market line (CML) merupakan gambaran tentang hubungan risiko
dan return pada pasar yang seimbang untuk portofolio-portofolio yang efisien (Eduardus
Tandelilin, 2010). Rumus yang digunakan sebagaimana ditunjukkan pada Persamaan
10.30.
 Secara grafis CML ditunjukkan
pada Gambar 10.3.
Gambar 10.4. Garis Pasar Modal (Capital Market Line)
Sumber: Jogiyanto, 2008, Teori Portofolio dan
Analisis Investasi, p. 468.
2.     
Garis
pasar sekuritas
Garis pasar sekuritas (GPS) atau security market line (SML) menunjukkan tradeoff antara risiko dan
return ekspektasi untuk sekuritas individual (Jogiyanto, 2008). Rumus yang
digunakan untuk menentukan Garis Pasar Sekuritas sebagaimana ditunjukkan pada
Persamaan 10.31.

Secara grafis Security Market
Line (SML) atau Garis Pasar Sekuritas (GPS) 
ditunjukkan pada Gambar 10.5.
Gambar 10.5. Garis pasar sekuritas (security market line)
Sumber: Jogiyanto, 2008, Teori Portofolio dan
Analisis Investasi, p. 474.
Beberapa hasil
penelitian yang dilaksanakan di Indonesia yang menjelaskan tentang analisis
investasi di Indonesia dikemukakan sebagai berikut:
1.   Bahri (2003) menyimpulkan bahwa faktor-faktor:
nilai tukar, tingkat suku bunga, jumlah uang beredar, dan tingkat inflasi
secara signifikan berpengaruh terhadap indeks harga saham sektoral.
2.  Dhita Ayudia Wulandari (2009) menyimpulkan: (1) Kinerja manajemen kedua industri
baik pertambangan maupun pertanian menunjukkan  pertumbuhan dari tahun ke tahun yang ditandai
dengan meningkatnya jumlah laba bersih, jumlah ekuitas, jumlah asset dan jumlah
harga saham rata - rata bila dibandingkan dengan jumlah saham umum yang
beredar, jumlah hutang, dan jumlah pajak per tahun, (2) pada tahun 2004 hingga
tahun 2008 terdapat beberapa saham yang selalu memiliki beta lebih dari 1 yaitu
saham PTBA, APEX, LSIP, UNSP, BTEK.dan BUMI, (3) pada industri pertambangan dan
pertanian diperoleh Angka R Square adalah 1.00. Hal ini berarti 100% dari variasi
harga saham bisa dijelaskan oleh variabel independen, (4) pada industri
pertambangan uji Anova atau F.test menunjukkan Fhitung dengan tingkat
signifikansi 0.00, maka model regresi bisa dipakai untuk memprediksi harga
saham. Atau bisa dikatakan semua variabel independen secara bersama sama
berpengaruh terhadap harga saham. Pada industri pertanian hanya variabel EPS,
PER, BVS, ROI, PBV, DER, serta Beta yang secara bersama sama berpengaruh
terhadap harga saham, dan (5)   Pada
industri pertambangan, Uji t menunjukkan angka SIG berada jauh di bawah 0.025.
Dapat dikatakan bahwa semua variabel independen secara individu berpengaruh
terhadap harga saham. Sedangkan pada industri pertanian,hanya variabel EPS,
PER, BVS, ROI, PBV, DER, serta Beta yang secara individu berpengaruh terhadap
harga saham.  
Ringkasan
Analisis
investasi merupakan suatu cara untuk mengestimasi nilai investasi pada masa
yang akan datang. Salah satu jenis investasi yang perlu dianalisis adalah
investasi pada pasar modal, berupa saham, obligasi, atau derivatifnya. Ketiga
jenis sekuritas ini merupakan jenis investasi yang berisiko, terutama saham dan
derivatif. Oleh karena itu, analisis investasi pada pasar modal difokuskan pada
penentuan risiko dan return.
Berbagai
pendekatan yang dapat digunakan dalam menganalisis investasi pada pasar modal
adalah: analisis fundamental, analisis teknikal, penggunaan model-model
penilaian sekuritas, serta penggunaan model-model keseimbangan, seperti capital asset pricing model (CAPM).
Analisis fundamental merupakan analisis yang dilakukan secara top-down yang mengasumsikan bahwa return
sekuritas dipengaruhi oleh berbagai faktor fundamental, seperti faktor
makroekonomi, faktor industri, dan faktor kinerja perusahaan. Analisis teknikal
mengasumsikan bahwa return sekuritas masa yang akan datang bergantung pada pola
pergerakan return pada periode sebelumnya. Penggunaan model-model penilaian
sekuritas adalah untuk menentukan nilai instrinsik berdasarkan arus kas dengan
menggunakan konsep nilai sekarang dan nilai akan datang. Penggunaan model-model
keseimbangan adalah untuk menentukan hubungan antara risiko dengan return
sekuritas.






























No comments:
Post a Comment